Опс , завтра позвоню в Питер маме узнаю по чем у нас на даче Аляктричество.
С электричеством еще комфортней , не труб ни всякой херни ( пардон за мой французкий ) с трубами и обслуживанием плюс ,можно упровлять дистанционно через телефон
Опс , завтра позвоню в Питер маме узнаю по чем у нас на даче Аляктричество.
Если сделаешь пассивный дом, да ещё и небольшой, то электричество идеальный вариант.
Природный магистральный газ стоит 6,4 руб за м3
А ещё гидро, гелео и ветровые... Но каков их процент в энергетическом балансе?
Чем ближе к европе, тем более европейские цены
Всё верно, и у меня электро полы и прочее на поддержке...
Это конкретно у Вас значит.kga079 писал(а): ↑10 дек 2022, 11:08Природный магистральный газ стоит 6,4 руб за м3
КилоВатт тепла с магистрального газа стоит 6,4/9,3*0,92(КПД) = 0,633руб
т.е. в 3,6 раза дешевле
1кВт тепла с угля также дешевле электрического килоВатта...
Оно и понятно... Не может продукт (э/энергия) стоить дешевле сырья (газ или уголь) из которого продукт в основной свой массе и производится...
Сэндвич он тоже разный бывает
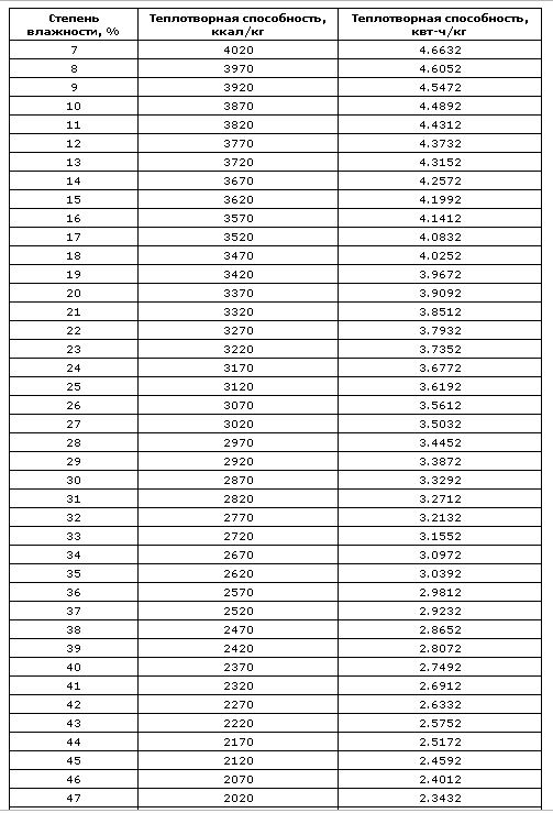
Если дрова сухие, то подходит древесина любых пород... Согласно теории 1 кг сухих (W=7%)дров выделяет 4020 ккал/кг... Причем без разницы какой породы, будь то саксаул, дуб или тополь... Кстати сырая береза хуже чем сырая сосна, так как в березе очень много дёгтя... Деготь именно из березы и получают...
|
|